\[ \]

\[ \]
\[\begin{align} \text{VAR equation: }&& y_t &= \mathbf{A}_1 y_{t-1} + \dots + \mathbf{A}_p y_{t-p} + \boldsymbol\mu_0 + \epsilon_t\\[1ex] \text{structural equation: }&& \mathbf{B}\epsilon_t &= u_t\\[1ex] \text{structural shocks: }&& u_t |Y_{t-1} &\sim N_N\left(\mathbf{0}_N,\mathbf{I}_N\right) \end{align}\]
\(\mathbf{B}\) - \(N\times N\) structural matrix of contemporaneous relationships
\(u_t\) - \(N\)-vector of structural shocks at time \(t\)
Isolating these shocks allows us to identify dynamic effects of uncorrelated shocks on variables \(y_t\)
\(\epsilon_t\) - \(N\)-vector with error terms at time \(t\)
the rest as in the lecture on Bayesian VARs
\[\begin{align} &&&\\ \text{structural equation: }&& \epsilon_t &= \mathbf{B}^{-1}u_t = \mathbf{\Theta}_0 u_t\\[1ex] \text{error terms: }&& \epsilon_t |Y_{t-1} &\sim N_N\left(\mathbf{0}_N,\Sigma\right)\\[1ex] \text{covariance: }&& \mathbf\Sigma &= \mathbf{B}^{-1}\mathbf{B}^{-1\prime} = \Theta_0\Theta_0' \end{align}\]
Plug the VAR equation into the structural equation to obtain:
\[\begin{align} \mathbf{B}y_t &= \mathbf{B}\mathbf{A}_1 y_{t-1} + \dots + \mathbf{B}\mathbf{A}_p y_{t-p} + \mathbf{B}\boldsymbol\mu_0 + u_t\\[1ex] &\\ \end{align}\]
Let \(N=2\)
\[\begin{align} \mathbf{B}y_t &= \begin{bmatrix}B_{11}&B_{12}\\B_{21}&B_{22}\end{bmatrix}\begin{bmatrix}y_{1t}\\y_{2t}\end{bmatrix} \end{align}\]
Plug the structural equation for \(\epsilon_t\) into the VAR equation to obtain:
\[\begin{align} y_t &= \mathbf{A}_1 y_{t-1} + \dots + \mathbf{A}_p y_{t-p} + \boldsymbol\mu_0 + \mathbf{B}^{-1}u_t\\[1ex] y_t &= \mathbf{A}_1 y_{t-1} + \dots + \mathbf{A}_p y_{t-p} + \boldsymbol\mu_0 + \mathbf{\Theta}_0 u_t \end{align}\]
Let \(N=2\)
\[\begin{align} \begin{bmatrix}y_{1t}\\y_{2t}\end{bmatrix} &= \dots + \begin{bmatrix}\Theta_{11}&\Theta_{12}\\\Theta_{21}&\Theta_{22}\end{bmatrix}\begin{bmatrix}u_{1t}\\ u_{2t}\end{bmatrix} \end{align}\]
What is the contemporaneous effect of the first shock on the second variable?
\[\begin{align} &\\ \mathbf\Sigma &= \mathbf{B}^{-1}\mathbf{B}^{-1\prime}\\[1ex] \end{align}\]
\[\begin{align} &\\ \mathbf\Sigma &= \mathbf{B}^{-1}\mathbf{B}^{-1\prime}\\[1ex] \end{align}\]
Let \(N=2\)
\[\begin{align} \begin{bmatrix}\sigma_1^2&\sigma_{12}\\ \sigma_{12}&\sigma_2^2\end{bmatrix} &\qquad \begin{bmatrix}B_{11}&B_{12}\\ B_{21}&B_{22}\end{bmatrix}\\[1ex] \end{align}\]
\[\begin{align} \begin{bmatrix}\sigma_1^2&\sigma_{12}\\ \sigma_{12}&\sigma_2^2\end{bmatrix} &\qquad \begin{bmatrix}B_{11}& 0\\ B_{21}&B_{22}\end{bmatrix}\\[1ex] \end{align}\]
Consider a system of four variables:
\[\begin{align} y_t = \begin{bmatrix} \Delta rgdp_t & \pi_t & cr_t & \Delta rtwi_t \end{bmatrix}' \end{align}\]
A lower-triangular matrix identifies:
\[\begin{align} \begin{bmatrix} B_{11}&0&0&0\\ B_{21}&B_{22}&0&0\\ B_{31}&B_{32}&B_{33}&0\\ B_{41}&B_{42}&B_{43}&B_{44} \end{bmatrix} \begin{bmatrix} \Delta rgdp_t \\ \pi_t \\ cr_t \\ \Delta rtwi_t \end{bmatrix} &= \dots + \begin{bmatrix} u_t^{ad} \\ u_t^{as} \\ u_t^{mps} \\ u_t^{ex} \end{bmatrix} \end{align}\]
\(u_t^{ad}\) - aggregate demand shock is exogenous to the rest of the system
\(u_t^{as}\) - aggregate supply shock
\(u_t^{mps}\) - monetary policy shock identified via Taylor’s Rule
\(u_t^{ex}\) - currency shock
\[\begin{align} \begin{bmatrix} B_{11}&0&0&0\\ B_{21}&B_{22}&0&0\\ B_{31}&B_{32}&B_{33}&0\\ B_{41}&B_{42}&B_{43}&B_{44} \end{bmatrix} \begin{bmatrix} \Delta rgdp_t \\ \pi_t \\ cr_t \\ \Delta rtwi_t \end{bmatrix} &= \dots + \begin{bmatrix} u_t^{ad} \\ u_t^{as} \\ u_t^{mps} \\ u_t^{ex} \end{bmatrix} \end{align}\]
\[\begin{align} \begin{bmatrix} B_{11}&0&0&0\\ B_{21}&B_{22}&0&0\\ B_{31}&B_{32}&B_{33}&0\\ B_{41}&B_{42}&B_{43}&B_{44} \end{bmatrix} \begin{bmatrix} \Delta rgdp_t \\ \pi_t \\ cr_t \\ \Delta rtwi_t \end{bmatrix} &= \dots + \begin{bmatrix} u_t^{ad} \\ u_t^{as} \\ u_t^{mps} \\ u_t^{ex} \end{bmatrix} \end{align}\]
\[\begin{align} \begin{bmatrix} B_{11}&B_{12}&B_{13}&B_{14}\\ B_{21}&B_{22}&B_{23}&B_{24}\\ B_{31}&B_{32}&B_{33}&B_{34}\\ B_{41}&B_{42}&B_{43}&B_{44} \end{bmatrix} \begin{bmatrix} \Delta rgdp_t \\ \pi_t \\ cr_t \\ \Delta rtwi_t \end{bmatrix} &= \dots + \begin{bmatrix} u_t^{ad} \\ u_t^{as} \\ u_t^{mps} \\ u_t^{ex} \end{bmatrix} \end{align}\]
Assume the structural shocks are: \[\begin{align} \text{heteroskedastic: }&& u_t^{(i)}\mid\mathbf{Y}_{t-1} &\sim N(0,\sigma_{i.t}^2) \\ \text{non-normal: }&& u_t^{(i)}\mid\mathbf{Y}_{t-1} &\sim t(0,1, \nu_i) \\ \end{align}\]
Impulse response functions to orthogonal shocks computed for an empirically relevant SVAR model are considered the
\[\begin{align*} \frac{\partial y_{n.t+i}}{\partial u_{j.t}}&=\theta_{nj.i} \end{align*}\]
\(\theta_{nj.i}\) - response of \(n\)th variable to \(j\)th shock \(i\) periods after shock’s occurrence
for \(i=0,1,\dots,h\) and \(n,j=1,\dots,N\)
Impulse response functions to orthogonal shocks computed for an empirically relevant SVAR model are considered the
\[\begin{align*} \frac{\partial y_{t+i}}{\partial u_t}&=\underset{N\times N}{\mathbf\Theta_i} \end{align*}\]
\(\mathbf\Theta_i\) - responses of all of the variables to all of the shocks \(i\) periods after shocks’ occurrence
for \(i=0,1,\dots,h\) and \(n,j=1,\dots,N\)
Define matrices
\[ \underset{(pN\times pN)}{\mathbb{A}} = \begin{bmatrix}\mathbf{A}_1 & \mathbf{A}_2 &\dots& \mathbf{A}_p\\ &\mathbf{I}_{N(p-1)}&&\mathbf{0}_{N(p-1)\times N} \end{bmatrix}\quad\text{and}\quad \underset{(N\times pN)}{\mathbf{J}} = \begin{bmatrix} \mathbf{I}_{N} & \mathbf{0}_{N\times N(p-1)} \end{bmatrix} \] Impulse response at horizon \(i=0,1,\dots,h\) are equal to:
\[\begin{align} \mathbf\Theta_i &= \mathbf{J}\mathbb{A}^i\mathbf{J}'\mathbf{\Theta}_0 \end{align}\] where \(\mathbb{A}^0=\mathbf{I}_N\), \(\mathbb{A}^1=\mathbb{A}\), \(\mathbb{A}^2=\mathbb{A}\mathbb{A}\), …
Inform about the value of the effect in the long run.
\[\begin{align} \mathbf\Theta_{\infty} &= \left( \mathbf{I}_N - \mathbf{A}_1 - \dots - \mathbf{A}_p \right)^{-1}\mathbf{\Theta}_0 \end{align}\]
Consider a bivariate (\(N=2\)) Structural VAR model with \(p=1\) lag and no constant term: \[\begin{align} y_t &= \mathbf{A}y_{t-1} + \epsilon_t\\ \mathbf{B}\epsilon_t &= u_t \end{align}\]
Derive:
Obtain a sample from the posterior distribution \[\left\{ \mathbf{A}^{(s)},\mathbf{B}^{(s)} \right\}_{s=1}^{S}\]
For each of the \(S\) draws, compute impulse responses \(\mathbf\Theta_0^{(s)}, \dots, \mathbf\Theta_h^{(s)}\) as a function of \(\mathbf{A}^{(s)}\) and \(\mathbf{B}^{(s)}\) and return \[\left\{\mathbf\Theta_0^{(s)}, \dots, \mathbf\Theta_h^{(s)}\right\}_{s=1}^{S}\] as a sample drew from the posterior distribution the impulse responses.
\(\left.\right.\)
facilitates estimation of Bayesian SVARs for
\(\left.\right.\)
\[ \underset{(1\times N)}{\mathbf{B}_{[n\cdot]}} = \underset{(1\times r_n)}{\mathbf{b}_n} \underset{(r_n\times N)}{V_n} \qquad\text{such that}\qquad \mathbf{B} = \begin{bmatrix} \mathbf{b}_1V_1\\ \vdots \\ \mathbf{b}_NV_N \end{bmatrix} \]
\[\mathbf{b}_n = \begin{bmatrix} b_1 & b_2\end{bmatrix}\quad V_n = \begin{bmatrix} 1&0&0\\0&0&1\end{bmatrix} \quad\rightarrow\quad \mathbf{B}_{[n\cdot]} = \begin{bmatrix} b_1&0 & b_2\end{bmatrix} \]
\[\begin{align*} \mathbf{b}_nV_n\epsilon_t &= u_{n.t}\\ u_{n.t} &\sim N(0,1) \end{align*}\]
\[\begin{align*} E V_n' \mathbf{b}_n' &= U_n\\ U_n &\sim N_T\left(\mathbf{0}_T,I_T\right)\\[2ex] \underset{(T\times1)}{U_n} &= \begin{bmatrix} u_{n.1} & \dots & u_{n.T} \end{bmatrix}'\\ \underset{(T\times N)}{E} &\text{ - defined as before} \end{align*}\]
\[\begin{align*} L(\mathbf{A},\mathbf{B}|Y,X) &\propto |\text{det}\left( \mathbf{B} \right)|^{T}\exp\left\{ -\frac{1}{2}\sum_{n=1}^N \mathbf{b}_nV_nE'EV_n'\mathbf{b}_n' \right\}\\[1ex] E &= Y - X\mathbf{A} \end{align*}\]
\[\begin{align*} \mathbf{b}_n | \gamma_B &\sim N_{r_n}\left(\mathbf{0}_{r_n}, \gamma_B V_n\underline{S}^{-1}V_n'\right)\\[1ex] \gamma_B &\sim IG2(\underline{s},\underline{\nu}) \end{align*}\]
\[\begin{align*} p(\mathbf{B}|Y,X,\mathbf{A}, \gamma_B)&\propto |\text{det}\left( \mathbf{B} \right)|^{T}\exp\left\{ -\frac{1}{2}\sum_{n=1}^N \mathbf{b}_n \overline{S}_n^{-1}\mathbf{b}_n' \right\}\\[1ex] \overline{S}_n^{-1} &= V_n\left[ \gamma_B^{-1}\underline{S}^{-1} + (Y-X\mathbf{A})'(Y-X\mathbf{A}) \right]V_n'\\[2ex] \end{align*}\]
specify_*()estimate()Based on Turnip (2017)
\[\begin{align} y_t = \begin{bmatrix} \Delta rgdp_t & \pi_t & cr_t & \Delta rtwi_t \end{bmatrix}' \end{align}\]
\[\begin{align} \textbf{lower-triangular} && \textbf{extended}\\ \begin{bmatrix} B_{11}&0&0&0\\ B_{21}&B_{22}&0&0\\ B_{31}&B_{32}&B_{33}&0\\ B_{41}&B_{42}&B_{43}&B_{44} \end{bmatrix} \begin{bmatrix} \Delta rgdp_t \\ \pi_t \\ cr_t \\ \Delta rtwi_t \end{bmatrix} && \begin{bmatrix} B_{11}&0&0&0\\ B_{21}&B_{22}&0&0\\ B_{31}&B_{32}&B_{33}&B_{34}\\ B_{41}&B_{42}&B_{43}&B_{44} \end{bmatrix} \begin{bmatrix} \Delta rgdp_t \\ \pi_t \\ cr_t \\ \Delta rtwi_t \end{bmatrix} \end{align}\]
# Gross domestic product (GDP); Chain volume
rgdp_dwnld = readrba::read_rba(series_id = "GGDPCVGDP")
rgdp_tmp = xts::xts(rgdp_dwnld$value, rgdp_dwnld$date, tclass = 'yearqtr')
drgdp = na.omit(400 * diff(log(rgdp_tmp)))
drgdp = xts::to.quarterly(drgdp, OHLC = FALSE)
# Consumer price index; All groups; Quarterly change (in per cent)
picpi_dwnld = readrba::read_rba(series_id = "GCPIAGSAQP")
pi = 4 * xts::xts(picpi_dwnld$value, picpi_dwnld$date, tclass = 'yearqtr')
pi = xts::to.quarterly(pi, OHLC = FALSE)
# Interbank Overnight Cash Rate
cr_dwnld = readrba::read_rba(series_id = "FIRMMCRID") # Cash Rate Target
cr_tmp = xts::xts(cr_dwnld$value, cr_dwnld$date)
cr = xts::to.quarterly(cr_tmp, OHLC = FALSE)
# Real Trade-Weighted Index
rtwi_dwnld = readrba::read_rba(series_id = "FRERTWI")
rtwi_tmp = xts::xts(rtwi_dwnld$value, rtwi_dwnld$date, tclass = 'yearqtr')
rtwi = 100 * na.omit(diff(log(rtwi_tmp)))
drtwi = xts::to.quarterly(rtwi, OHLC = FALSE)
y = na.omit(merge(drgdp, pi, cr, drtwi))
plot(y, main = "Australian monetary system",
legend.loc = "bottomleft", col = c("#FF00FF","#990099","#ff69b4","#330033"))
# structural matrix - extended model
############################################################
B_LR = matrix(TRUE, N, N)
B_LR[upper.tri(B_LR)] = FALSE
B_LR[3,4] = TRUE
B_LR [,1] [,2] [,3] [,4]
[1,] TRUE FALSE FALSE FALSE
[2,] TRUE TRUE FALSE FALSE
[3,] TRUE TRUE TRUE TRUE
[4,] TRUE TRUE TRUE TRUE
# estimation - lower-triangular model
############################################################
spec_bsvar0 = specify_bsvar$new(as.matrix(y), p = p, stationary = rep(TRUE, N))
spec_bsvar0 |>
estimate(S = S_burn) |>
estimate(S = S, thin = thin) -> soe_bsvar0**************************************************|
bsvars: Bayesian Structural Vector Autoregressions|
**************************************************|
Gibbs sampler for the SVAR model |
**************************************************|
Progress of the MCMC simulation for 10000 draws
Every draw is saved via MCMC thinning
Press Esc to interrupt the computations
**************************************************|
**************************************************|
bsvars: Bayesian Structural Vector Autoregressions|
**************************************************|
Gibbs sampler for the SVAR model |
**************************************************|
Progress of the MCMC simulation for 20000 draws
Every 2nd draw is saved via MCMC thinning
Press Esc to interrupt the computations
**************************************************|
# estimation - lower-triangular model - MLE prior for A
############################################################
spec_bsvar = specify_bsvar$new(as.matrix(y), p = p, stationary = rep(TRUE, N))
A_mle = t(solve(
tcrossprod(spec_bsvar$data_matrices$X),
tcrossprod(spec_bsvar$data_matrices$X, spec_bsvar$data_matrices$Y)
))
spec_bsvar$prior$A = A_mle
spec_bsvar |>
estimate(S = S_burn) |>
estimate(S = S, thin = thin) -> soe_bsvar**************************************************|
bsvars: Bayesian Structural Vector Autoregressions|
**************************************************|
Gibbs sampler for the SVAR model |
**************************************************|
Progress of the MCMC simulation for 10000 draws
Every draw is saved via MCMC thinning
Press Esc to interrupt the computations
**************************************************|
**************************************************|
bsvars: Bayesian Structural Vector Autoregressions|
**************************************************|
Gibbs sampler for the SVAR model |
**************************************************|
Progress of the MCMC simulation for 20000 draws
Every 2nd draw is saved via MCMC thinning
Press Esc to interrupt the computations
**************************************************|
# estimation - extended model - MLE prior for A
############################################################
spec_bsvar_lr = specify_bsvar$new(as.matrix(y), p = p, B = B_LR, stationary = rep(TRUE, N))
spec_bsvar_lr$prior$A = A_mle
spec_bsvar_lr |>
estimate(S = S_burn) |>
estimate(S = S, thin = thin) -> soe_bsvar_lr**************************************************|
bsvars: Bayesian Structural Vector Autoregressions|
**************************************************|
Gibbs sampler for the SVAR model |
**************************************************|
Progress of the MCMC simulation for 10000 draws
Every draw is saved via MCMC thinning
Press Esc to interrupt the computations
**************************************************|
**************************************************|
bsvars: Bayesian Structural Vector Autoregressions|
**************************************************|
Gibbs sampler for the SVAR model |
**************************************************|
Progress of the MCMC simulation for 20000 draws
Every 2nd draw is saved via MCMC thinning
Press Esc to interrupt the computations
**************************************************|
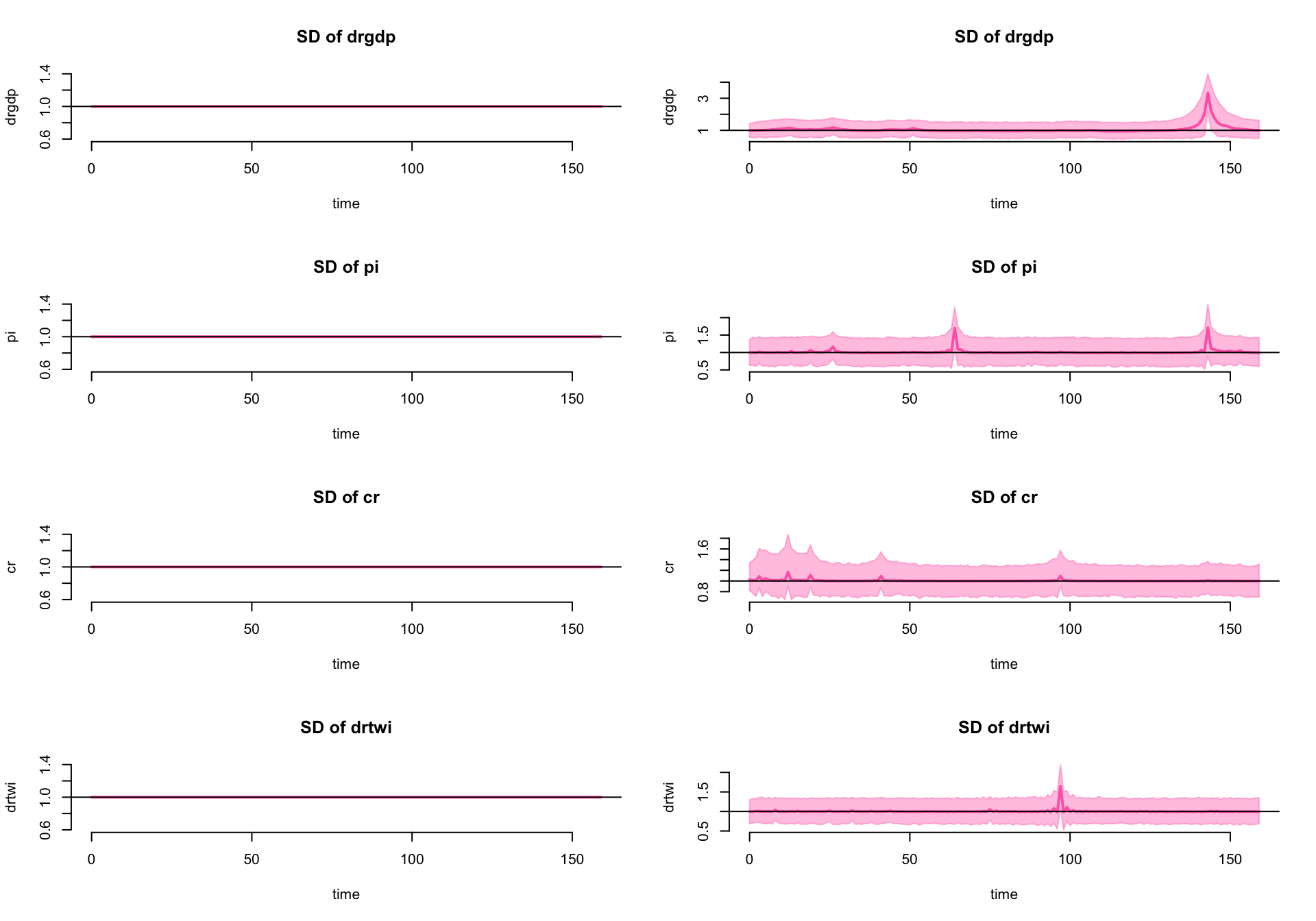
# estimation - lower-triangular SV heteroskedastic model
############################################################
spec_bsvar_sv = specify_bsvar_sv$new(as.matrix(y), p = p, stationary = rep(TRUE, N))
spec_bsvar_sv$prior$A = A_mle
spec_bsvar_sv |>
estimate(S = S_burn) |>
estimate(S = S, thin = thin) -> soe_bsvar_sv**************************************************|
bsvars: Bayesian Structural Vector Autoregressions|
**************************************************|
Gibbs sampler for the SVAR-SV model |
Non-centred SV model is estimated |
**************************************************|
Progress of the MCMC simulation for 10000 draws
Every draw is saved via MCMC thinning
Press Esc to interrupt the computations
**************************************************|
**************************************************|
bsvars: Bayesian Structural Vector Autoregressions|
**************************************************|
Gibbs sampler for the SVAR-SV model |
Non-centred SV model is estimated |
**************************************************|
Progress of the MCMC simulation for 20000 draws
Every 2nd draw is saved via MCMC thinning
Press Esc to interrupt the computations
**************************************************|
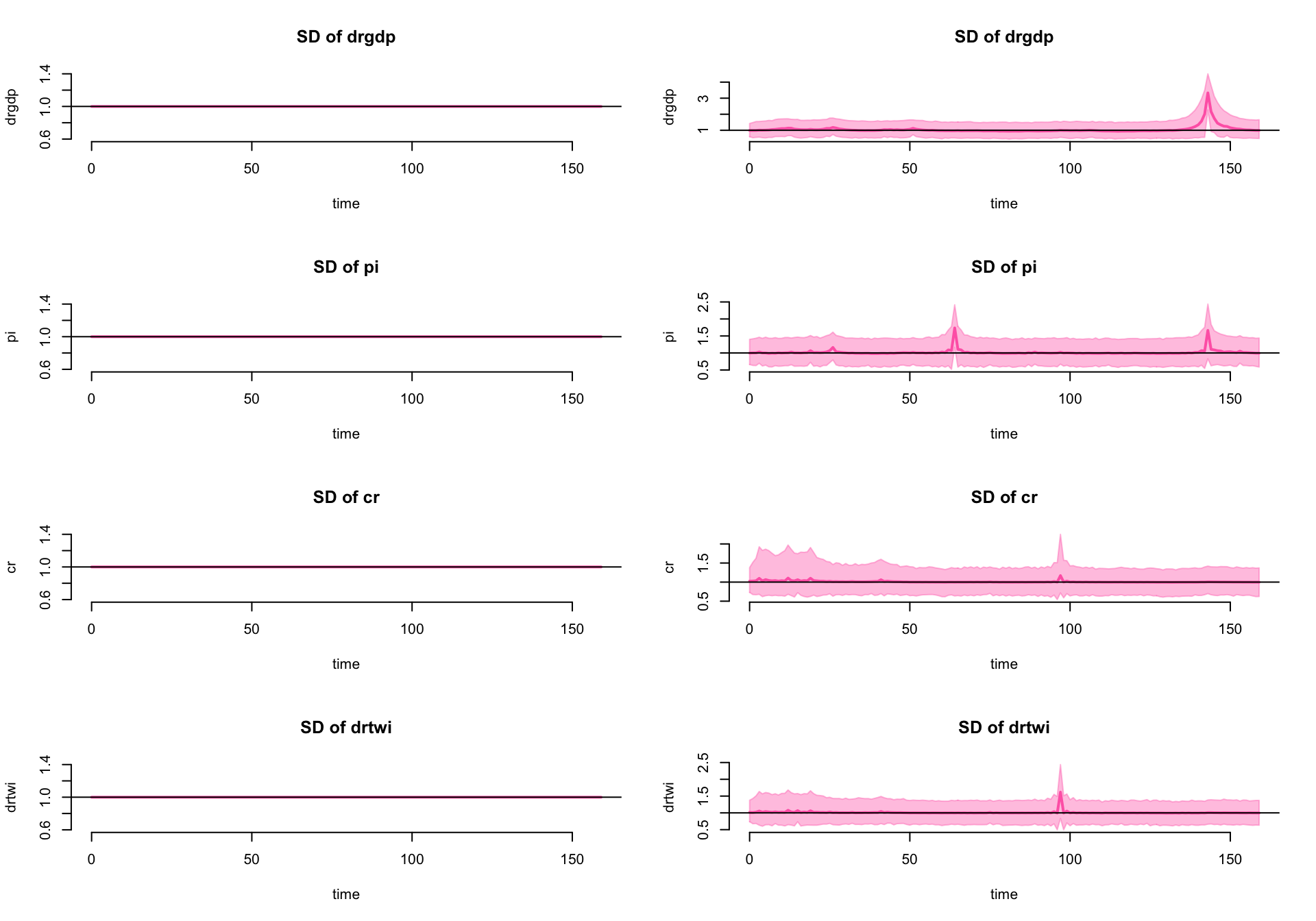
# estimation - extended SV heteroskedastic model
############################################################
spec_bsvar_lr_sv = specify_bsvar_sv$new(as.matrix(y), p = p, B = B_LR, stationary = rep(TRUE, N))
spec_bsvar_lr_sv$prior$A = A_mle
spec_bsvar_lr_sv |>
estimate(S = S_burn) |>
estimate(S = S, thin = thin) -> soe_bsvar_lr_sv**************************************************|
bsvars: Bayesian Structural Vector Autoregressions|
**************************************************|
Gibbs sampler for the SVAR-SV model |
Non-centred SV model is estimated |
**************************************************|
Progress of the MCMC simulation for 10000 draws
Every draw is saved via MCMC thinning
Press Esc to interrupt the computations
**************************************************|
**************************************************|
bsvars: Bayesian Structural Vector Autoregressions|
**************************************************|
Gibbs sampler for the SVAR-SV model |
Non-centred SV model is estimated |
**************************************************|
Progress of the MCMC simulation for 20000 draws
Every 2nd draw is saved via MCMC thinning
Press Esc to interrupt the computations
**************************************************|
ir_bsvar0 = compute_impulse_responses(soe_bsvar0, horizon = 20)
ir_bsvar0[,3,,] = 0.25 * ir_bsvar0[,3,,] / mean(ir_bsvar0[3,3,1,])
ir_bsvar = compute_impulse_responses(soe_bsvar, horizon = 20)
ir_bsvar[,3,,] = 0.25 * ir_bsvar[,3,,] / mean(ir_bsvar[3,3,1,])
ir_bsvar_lr = compute_impulse_responses(soe_bsvar_lr, horizon = 20)
ir_bsvar_lr[,3,,] = 0.25 * ir_bsvar_lr[,3,,] / mean(ir_bsvar_lr[3,3,1,])
ir_bsvar_sv = compute_impulse_responses(soe_bsvar_sv, horizon = 20)
ir_bsvar_sv[,3,,] = 0.25 * ir_bsvar_sv[,3,,] / mean(ir_bsvar_sv[3,3,1,])
ir_bsvar_lr_sv = compute_impulse_responses(soe_bsvar_lr_sv, horizon = 20)
ir_bsvar_lr_sv[,3,,] = 0.25 * ir_bsvar_lr_sv[,3,,] / mean(ir_bsvar_lr_sv[3,3,1,])